Дом » Новости » Новости компании » Технический форум: Подложка BT способствует развитию усовершенствованной упаковки

Технический форум: Подложка BT способствует развитию усовершенствованной упаковки

Просмотры:0     Автор:Pедактор сайта     Время публикации: 2023-06-16      Происхождение:Работает

Запрос цены

twitter sharing button
facebook sharing button
line sharing button
wechat sharing button
linkedin sharing button
pinterest sharing button
whatsapp sharing button
sharethis sharing button

Усовершенствованная технология упаковки теперь играет ключевую роль в расширении закона экономики Мура.Это помогает преодолеть растущие затраты на производство и проблемы с управлением питанием, обеспечивая при этом прирост скорости, связанный с монолитной конструкцией каждого нового транзисторного узла.

Существует несколько способов классификации передовых упаковочных технологий.Определения не всегда применяются в отрасли.Как правило, они включают в себя упаковку на уровне разветвленной пластины (FOWLP), 2.5D, 3D-IC и систему в упаковке (SiP).Однако WLCSP, FCBGA и FCCSP также обычно включаются в некоторые обзоры рынка.Хотя в настоящее время большинство (> 70%) корпусов микросхем по-прежнему собираются с использованием проволочного соединения, тенденция перехода к корпусам с перевернутыми микросхемами для высокопроизводительных продуктов ускоряется и, как ожидается, будет иметь высокие темпы роста рынка, такие как корпуса 2.5D / 3D и SiP. в ближайшие несколько лет.

Использование подхода упаковки микросхем позволяет собрать несколько кристаллов с дискретными функциями в разных узлах конструкции, чтобы обеспечить интегрированную производительность на уровне модуля.Как показано на рисунках 1 и 2, существуют различные технологии, которые можно использовать для соответствия конкретным характеристикам проводки.Выбор материалов, ограниченный физическими свойствами, условиями обработки и правилами проектирования, различается в каждом отдельном случае.Когда плотность разводки корпуса увеличивается, происходит сдвиг в использовании набора материалов подложки.На этот переход от органической подложки к носителю на основе кремния влияет несколько факторов, таких как инструмент для литографии, размер сетки и, что наиболее важно, физические свойства материала и иерархия температуры обработки.

Рис. 1. Технология для различных функций электропроводки (издание HIR 2021 г.)

Рис. 2. Обзор расширенных типов упаковки (краткий обзор)

Высокопроизводительные вычисления (HPC), 2.5 и 3D-упаковка с использованием кремниевых интерпозеров для проведения гетерогенной интеграции широко используются в отрасли.Для мобильных вычислений, ограниченных размером и высотой корпуса, сборка «пакет-на-пакете» (PoP) используется взаимосвязанным процессором приложения, памятью, датчиком, пассивными компонентами и т. д. для создания подсистемы или модуля системного уровня.Для соединения корпуса с корпусом используются различные методы, в том числе контактная пайка, TMV (Through Mold Via), Cu Post (например, TSMC Through-InFO-Via TiV), соединение через массив (BVA), отдельно стоящее Cu проволока и т.д.

Для создания описанных выше довольно сложных конструкций требуется много материалов.Они включают в себя непрямые материалы, связанные с технологическим процессом, такие как фоторезист, связующая пленка, флюс для пайки, стеклянные и металлические несущие пластины для временного соединения и т. д. Для завершения различных схем соединения в пакете используется ряд ключевых прямых материалов, включая светочувствительный RDL (слой перераспределения) материал, пленка для крепления штампа, буферное покрытие, пленка для наращивания, паяльная паста, подложка, mSAP Cu, паяльная маска и т. д. были разработаны для удовлетворения требований к упаковке с высокой плотностью.

Возьмем, к примеру, контактное соединение припоя. В корпусе флип-чипа вместо тугоплавкого оловянно-свинцового припоя без эмиссии альфа-частиц используются бессвинцовые сплавы SAC (Sn/Ag/Cu) и олово/серебро (Sn/Ag).Процесс гибридного соединения медь-медь в настоящее время используется для обеспечения соединения с мелким шагом на уровне кремния, такого как соединения кристалл-кристалл и пластина-пластина.Сплавы, содержащие индий (In) и висмут (Bi), предназначенные для низкотемпературных соединений, используются для соединения термочувствительных устройств.

Заливка флип-чипа обеспечивает защиту, гарантируя надежность за счет снижения механической нагрузки на контактные соединения припоя, вызванной несоответствием КТР (коэффициента теплового расширения) кремниевого кристалла и носителя во время термоциклирования.Составы обычно основаны на термореактивных смолах на основе эпоксидных или цианоэфирных смол.Присадочный материал должен быть загружен для контроля КТР материала и модуля.Жидкие заполнители были впервые разработаны с использованием жидкой эпоксидной смолы и смеси плавленого кварца с низким содержанием альфа-частиц.После нанесения вдоль кромки матрицы смола перемещается под чипом под действием капиллярной силы и может образовывать красивые галтели вокруг матрицы для контроля.Затем смола затвердевает при нагревании, чтобы завершить процесс.Поскольку геометрия наполнителя, его количество и связующий агент должны влиять на характеристики текучести, более поздние работы включали использование синтетических сфер из диоксида кремния разных размеров для контроля КТР и оптимизации характеристик текучести.Дальнейшие усилия по разработке привели к нерастекающемуся заполнению (непроводящая паста, NCP), непроводящей пленке (NCF), неполному заполнению уровня пластины уровня B, перерабатываемым смолам и т. д. для удовлетворения различных продвинутых потребностей в упаковке.Molded Underfill (MUF) сочетает в себе формование и инкапсуляцию флип-чипа в один этап, устраняя необходимость дозирования и отверждения смолы.Это дает преимущество повышения эффективности производства;таким образом, получил признание в отрасли.Чтобы повысить надежность на уровне платы, смолы нижнего заполнения также расширили свое использование в некоторых процессах крепления CSP и BGA.

Чтобы выбрать наилучшее соответствие для данной конструкции упаковки, необходимо учитывать многие характеристики материала.Помимо кремния, в качестве основы для проводки цепей использовались три основных типа материалов на основе органических смол.На рис. 3 показан пакет FOWLP с двумя кристаллами.Набор материалов FO состоит из силиконовой матрицы, эпоксидного формовочного компаунда (EMC) и полиимидных слоев RDL с просверленными лазером сквозными соединениями.Нижний органический носитель состоит из 3 слоев ABF (пленка для наращивания Ajinomoto) на многослойном сердечнике, состоящем из восьми слоев BT-эпоксидных стеклянных препрегов с механически просверленными PTH (металлизированными сквозными отверстиями).

В таблице 1 показаны основные характеристики материалов, использованных для создания этого пакета.Приведены типичные значения для каждого типа материала.Однако физические свойства меняются в зависимости от состава материала, который обычно подбирается для удовлетворения конкретных требований к обработке и характеристикам упаковки.


Рис. 3. Многочиповый FOWLP на подложке BT — ASE FOCoS (HIR, издание 2021 г.)


Таблица 1. Свойства упаковочного материала*Tg по DSC (NIST, INVACU, данные поставщика)



FOWLP — это быстрорастущий тип упаковки, используемый для продвинутых приложений.Он основан на концепции WLCSP, которая была впервые раскрыта и запущена в производство компанией Infineon в 2000-х годах.СТАТИСТИКА ChipPAC (теперь дочерняя компания JCET) позже стала первой среди OSAT, начавшей крупносерийное производство.В отличие от обычного WLP, оптоволоконный пакет, для которого площадь соединения на основе RDL больше, чем масштаб чипа, требует использования отдельного набора материалов и оборудования.По сравнению с подходом с кремниевыми интерпозерами, FOWLP предлагает менее дорогой вариант для межсоединений с несколькими кристаллами.

Новые разработки привели к появлению нескольких вариантов процесса для получения сборок FOWLP, подходящих для расширенной интеграции упаковки.Он предлагает несколько преимуществ, таких как меньший размер, более низкая стоимость, отсутствие процесса стыковки и гибкость в подключении, что облегчает интеграцию в расширенные пакеты.

Подробно изучив вышеупомянутый корпус, можно заметить, что схемная характеристика линии/пространства на FOWLP, использующей кремний и ЭМС в качестве основы, намного меньше, чем показанная на органическом чип-носителе, построенном на BT-эпоксидном ламинате.Это существенное различие также хорошо видно на рисунках 1 и 2.

Формирование разводки с мелким шагом и точной многослойной приводкой требует использования держателей со стабильными размерами.В этом отношении кремний по сравнению с органической подложкой, как показано в предыдущих примерах, был бы лучшим выбором.Это связано с тем, что различные сложные факторы по своей природе влияют на размерную стабильность органических субстратов BT.Они могут включать состав смолы, термомеханические свойства ламината, условия обработки и воздействие окружающей среды.Мы должны обсудить связанные темы более подробно:

БТ подложка

а.Состав смолы

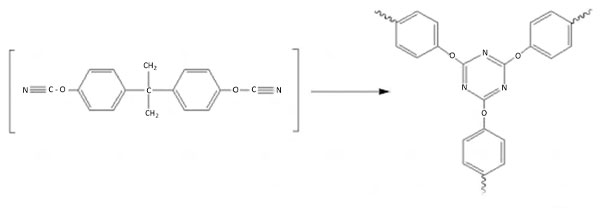
BT означает бисмалеимид-триазин.Это термореактивный состав, состоящий из двух компонентов: бисмалеимида и цианатэфирной смолы.Химическая структура показана на рисунке 4. Триазин относится к продукту реакции цианатного эфира в результате реакции циклотримеризации после термического отверждения.

A

B

Рис. 4. Компоненты смолы БТ — образование бисмалеимида (А) и триазина из бис-цианатного эфира (В)



я.бисмалеимидная смола

Бисмалеимид представляет собой тип полиимида, имеющего предварительно имидизированную химическую структуру, которая не выделяет летучих веществ во время отверждения.Поскольку он обладает отличной термической стойкостью и может обрабатываться на том же оборудовании, что и обычные термореактивные материалы, этот класс смол был разработан с использованием диаминовых отвердителей и используется для усовершенствованных аэрокосмических композитов и приложений для печатных плат.

II.Цианатно-эфирная смола

Разработка технологии цианатэфирной смолы началась в 1960-х годах.Впервые мономеры были успешно синтезированы из ароматических фенолов.Чаще всего используется дицианат, полученный из бисфенола А, который также является сырьем для многих эпоксидных смол.Первая дицианатная смола, триазин А, была представлена ​​в производстве печатных плат в середине 1970-х годов.Смолы на основе сложных эфиров цианата можно смешивать с широким спектром термореактивных материалов, таких как эпоксидные смолы, бисмалеимиды или акрилаты, с образованием совместимых смесей.

Этот тип смол демонстрирует превосходные электрические свойства по сравнению с эпоксидными смолами.Диэлектрическая проницаемость отвержденной смолы и коэффициент потерь ниже, чем у FR-4.Различные составы на основе цианатных эфиров были разработаны и нашли применение специально для упаковки микроэлектроники, в том числе: заполнение, покрытие, клей, герметик, подложка для чипа, наплавляемая диэлектрическая пленка, печатные платы (PCB), фоторезист и т. д. Они имеют были включены в рецептуры для широкого спектра применений в индустрии передовых композитов.

III.БТ Ламинаты

Путем смешивания с метилендианилинбисмалеимидом Mitsubishi Gas Chemical Company впервые разработала систему смолы BT на основе цианатного эфира.Подложка BT является расширением технологии ламинирования печатных плат.Базовые рецептуры обычно предусматривают использование более 50% по массе эпоксидных смол.

Смеси БТ-эпоксидной смолы показывают хорошую растворимость в органических растворителях, таких как метилэтилкетон (МЭК), для пропитки.Подложка BT, используемая в качестве носителя для чипов, представляет собой композитный ламинат, имеющий в качестве армирования стеклоткань.По сравнению с обычными FR-4, эпоксидные смолы BT имеют более высокую Tg (температуру стеклования) и улучшенную термическую стойкость, что позволяет материалу выдерживать высокотемпературную сборку и эксплуатацию в условиях повышенной температуры.Это лишь некоторые из ключевых характеристик, которые делают их более подходящими для применения в подложках микросхем.

Его производственный процесс следует обычному производственному процессу печатных плат.Ключевыми этапами являются пропитка, этап B, ламинирование препрега и создание схемы.Имея многослойную структуру, подложка BT позволяет включать встроенные кристаллы и пассивные компоненты, такие как активное устройство, кристалл промежуточного элемента, конденсатор, устройства MEMS и т. д.

При создании ламината на основе эпоксидной смолы BT в нескольких материалах и технологических этапах использовались механические напряжения, которые влияли на стабильность размеров материала и требовали особого внимания и контроля.

б.Tg и КТР

Как правило, Tg термореактивных смол возникает вместе с профилем отверждения и стабилизируется после достижения высокой степени конверсии.Таким образом, условия обработки влияют на конечную Tg материала, которая обычно ниже или близка к конечной температуре отверждения.

В зависимости от их химической структуры чистые цианатные смолы после полного отверждения легко демонстрируют Tgs, превышающую 280°C.Следовательно, эта характеристика исключает использование обычного заводского пресса для печатных плат с максимальной рабочей температурой ~180°C при нагреве водой под давлением для выполнения ламинирования и полного отверждения.Таким образом, общий подход к рецептуре заключается в добавлении различных уровней эпоксидных смол для снижения Tg при одновременном изменении технологичности смолы и регулировании таких свойств, как механические свойства, воспламеняемость и т. д. Ламинаты с более высоким Tg обычно требуют использования ламинирования при повышенной температуре или последующего отверждения для раскрыть все свойства материала.

Как обсуждалось, термореактивные материалы достигают стабильной Tg после завершения реакции сшивки.Отвержденная смола претерпевает фазовый переход из аморфного состояния в каучукоподобное, когда температура поднимается выше ее Tg.Это преобразование свободного объема приводит к резким изменениям модуля смолы, относительного удлинения и коэффициента теплового расширения, что влияет на размерную стабильность и вызывает напряжения, возникающие из-за теплового несоответствия на различных границах раздела.

Благодаря армированию стеклотканью жесткий ламинат демонстрирует КТР в плоскости xy, близкий к КТР Cu (17 ppm/°C).Эта характеристика сводит к минимуму межфазное тепловое несоответствие между подложкой и схемой.В результате ограничения в плоскости КТР подложки по оси z обычно превышает 40 ppm/°C;таким образом, оказывает межфазное напряжение в ПТГ во время термоциклирования.Смешивание наполнителей с низким КТР с матричной смолой дополнительно снижает КТР во всех направлениях;однако этот тип рецептуры имеет тенденцию привносить больше переменных, которые требуют большего внимания во время производства.

Прочность на отрыв Cu эпоксидной смолы BT достаточна, но немного меньше, чем у FR-4.Однако на это значение влияет несколько вариантов, таких как предварительная обработка поверхности, метод схемотехники и типы используемой медной фольги.

в. Стеклоткань и контроль размеров

Большинство ламинатов BT изготовлены из ткани Е-стекло.Другие марки стекловолокна, такие как S-стекло, D-стекло, L-стекло и плавленый кварц, имеющие более низкие КТР и диэлектрическую проницаемость, производятся в меньших объемах.Они отличаются химическим составом и физическими свойствами.Доступен широкий выбор тканых тканей различной толщины, веса и конструкции пряжи.Легкая ткань из тонкой пряжи позволяет производить препреги с конечной толщиной прессованного материала 25-35 мкм.

Стеклоткань является ключевым опорным элементом для изготовления препрега.Производственный процесс включает в себя пропитку стеклоткани раствором смолы с использованием устройства для обработки (покрытия).Последующее нагревание удаляет растворитель из пропитанной смолой ткани досуха и частично отвердевает смолу, в результате чего получается препрег B-стадии.Среди нескольких ключевых параметров, которые необходимо контролировать, — содержание смолы, текучесть вязкости и степень отверждения ниже точки гелеобразования смолы.

Реакции сшивки между тремя компонентами смолы сложны, и их трудно охарактеризовать.Были предприняты различные попытки установить взаимосвязь между структурой и свойствами смоляных смесей.Вероятные механизмы были подвергнуты различным исследованиям на спектроскопических моделях и предложены несколькими исследовательскими группами.

Затем один или несколько слоев препрегов скрепляются медной фольгой под действием тепла и давления, чтобы сформировать сердцевины из жесткого медного ламината (CCL) для дальнейшей схемотехники.Содержание смолы в препрегах из тонкой легкой ткани обычно превышает 60% по весу.

При изготовлении интерфейсных устройств и слоев RDL на кремниевом носителе используются многоэтапные процессы для последовательного создания слоев схем.В отличие от этого процесс ламинирования позволяет включать несколько слоев проводки с использованием схемных сердечников, собранных «параллельно» вместе за один шаг.Соединения с плоскостями внутренних цепей осуществляются как через, так и через PTH.

Будучи композитным ламинатом, BT-эпоксидная подложка претерпевает изменения размеров во время производства, а также подвергается воздействию влажности или температурных циклов.Точное совмещение внутреннего слоя необходимо для обеспечения надежного соединения проводов. Однако этапы как пропитки, так и ламинирования существенно влияют на стабильность размеров материала и требуют тщательного контроля.Остаточные напряжения, возникающие при плетении ткани, пропитке под натяжением, усадке при отверждении смолы и ламинировании препрегом, — все это вносит свой вклад в определенную степень допустимого отклонения размеров ламината и коробления.

Обычно из-за напряжений, вызванных стеклотканью, однослойный ламинат имеет тенденцию к большей деформации и менее стабилен в размерах.Следовательно, если позволяет требование по толщине, подход заключается в поперечном сложении ровных слоев препрегов, чтобы компенсировать эти недостатки.При выборе набора материалов важно понимать, какие факторы влияют на минимальное движение материала и насколько последовательно и воспроизводимо оно перемещается;следовательно, компенсация художественного произведения литографии может быть реализована соответствующим образом.

д. Чувствительность к влаге

Хотя цианоэфирные смолы обладают некоторыми превосходными свойствами по сравнению с эпоксидными смолами, известно, что они чувствительны к влаге.Важно исключить воздействие влаги на химические реакции смолы во время производства препрега, его хранения и обращения с ним.Под действием металлоорганических солей ароматические цианаты тримеризуются с образованием стабильного цианурата, s-триазина, с кольцевой структурой.Однако в присутствии воды арилцианаты легко гидролизуются с образованием карбаматных фрагментов, которые при нагревании выделяют углекислый газ.Эта побочная реакция вызывает образование пузырей на ламинате и ухудшает свойства конечного материала.

При надлежащем контроле полностью отвержденные BT-эпоксидные ламинаты демонстрируют хорошую устойчивость к влаге и расслаиванию.Наличие границы раздела смола/стекловолокно и свободный объем в твердой смоле влияют на диффузию влаги в ламинат.Обработка ткани связывающим агентом увеличивает адгезию стекловолокна/смолы и улучшает влагостойкость.Поглощение влаги следует типичному профилю Fickain типа II, а десорбция завершается нагреванием.Гигротермические эффекты на размерную стабильность ламината включают движение в плоскости xy и коробление вне плоскости.Поскольку в ламинат входит несколько компонентов, характеристики коробления подложки довольно сложны и оказывают прямое влияние на ее способность образовывать тонкие линии на поверхности носителя.Эту функцию необходимо правильно контролировать, чтобы предотвратить нежелательную потерю выхода на этапе схемотехники.

Известно, что BT-эпоксидные смолы обладают хорошей устойчивостью к образованию проводящих анодных нитей (CAF).Это явление связано с режимом отказа, обнаруженным в ламинате многослойной схемы, когда металлические нити могут расти из медных переходных отверстий или PTH вдоль нити из стекловолокна, вызывая короткое замыкание на соседние медные плоскости.На возникновение CAF влияет присутствие влаги, ионных примесей, электрическое смещение, слабая межфазная адгезия стекловолокна/смола и тепло.CAF был связан в первую очередь с механически просверленными отверстиями, в которых ослабленная граница раздела волокно/смола часто служила точкой начала роста филамента.

Эпоксидный ламинат BT, часто в сочетании с наплавляемыми слоями ABF, использовался для различных применений, начиная от одиночного чипа и заканчивая усовершенствованными корпусами, такими как оптоволоконные подложки, PoP, SiP, встраиваемые устройства/компоненты, мультичиплетные HI и 2,5 / 3D сложенные продукты.Доступны различные конструкции подложек.Возьмем, к примеру, продукты памяти. Известно, что в настоящее время огромное количество стандартных модулей памяти DDR4 подключаются с помощью проволочной связи к оконному корпусу FBGA (BOC) BT-эпоксидной смолы с использованием только одного слоя схемы;Хотя это началось несколько лет назад, некоторые DDR2 уже были маршрутизированы с RDL и с использованием медных опор для крепления к подложке для специальных приложений.

Физические свойства BT-эпоксидной подложки как композитного материала накладывают некоторые ограничения на создание рисунка с тонкими линиями, когда требуется плоская и стабильная по размерам поверхность.Эти характеристики были проиллюстрированы в предыдущих обсуждениях.Следовательно, такие материалы, как кремний и стекло, на которых можно легко сформировать схемы с мелким шагом в процессе осаждения тонкой пленки, становятся альтернативными, хотя и более дорогими, решениями для проводки с высокой плотностью.

е. Рынок субстратов

Подложка ИС представляет собой подмножество рынка необработанных печатных плат стоимостью 80 млрд долларов США+.Благодаря требованиям к высокопроизводительным вычислениям, мобильным устройствам, 5G, автомобилям и интеграции цепочек продажи субстратов в последние несколько лет растут более чем на 20 % в год (рис. 5).Цепочки поставок субстратов BT сосредоточены в Азии.Ведущими поставщиками являются Unimicron, Kinsus, NYPCB, ASE, Zing Ding, LG Innotek, SimmTek, SEMCO, Daeduck, Shannan и др.

Рисунок 5. Рост рынка подложек ИС * FCCSP/FC-BOC, WB PBGA/CSP, модуль

(Презентация AT&S, первый квартал 2022/23 г., Prismark)

Прогнозируется, что увеличение форм-фактора корпуса и количества слоев будет стимулировать рост рынка подложек BT (рис. 6).Несколько ключевых факторов показаны на графике.Пример пакета «Антенна в корпусе» (AiP)/SiP показан на рисунке 7. Приложение для мобильного телефона, связанное с волной 5Gmm, является одним из ведущих сегментов рынка, который стимулирует спрос на использование подложки.Тенденция его развития сосредоточена на меньших и более тонких корпусах, подходящих для высокочастотных и многодиапазонных приложений.Еще одна область роста рынка связана с прогнозируемым увеличением объемов использования подложек для продуктов памяти.Подсостояния для HBM, eMMC и FCCSP для DDR5 должны извлекать выгоду из более высокого ASP.Также ожидается дальнейшее расширение внутреннего рынка субстратов BT, поскольку китайские YMTC и Hefei ChangXin вступают в циклы расширения.


Рисунок 6. Прогноз роста рынка субстратов BT (Goldman Sachs Global Investment Research 11/2022)


Рис. 7. Реализация AiP в FEM для Asus ZenFone 4 Pro (веб-трансляция Yole Group)


Усовершенствованная компоновка позволяет собирать кристаллы (чиплеты) с различными функциями на различных технологических узлах для достижения системной интеграции на уровне пакетов.Технология подложек постоянно развивается и становится одним из ключевых факторов, способствующих этой тенденции и продолжающемуся росту рынка.


Связаться

Этаж 3, блок, 5 номер 2 Валтай-роуд, район Ваньцзян, город Дунгуань, провинция Гуандун, Китай
Телефон: +86-13549368780
Тел: +86-0769-21665206
Электронная почта: jennie@merryelc.com
Связаться с нами
Авторские права 2023 Dongguan Merry Electronic Co., Ltd. | Sitemap |Поддержка Leadong | политика конфиденциальности